Toggle navigation
FCC.report
IBFS
ELS
FCC ID
Contact
About
LDK102039
FCC ID
Equipment:
Cisco Systems Inc 102039
125 West Tasman Drive, San Jose, CA 95134-1706 United States
FCC.report
›
FCC ID
›
Cisco Systems Inc
›
LDK102039
Application
Frequency Range
Final Action Date
Granted
a4A460A/ZtM08G+EvEoaQw==
2412.0-2465.0
2000-06-14
APPROVED
File Name
Document Type
Date
Direct
Amended SAR report for modelLDK12040
RF Exposure Info
2000-06-14 00:00:00
pdf
Correspondence on SAR tests
RF Exposure Info
2000-06-14 00:00:00
pdf
Manufacturer response to questions
RF Exposure Info
2000-06-14 00:00:00
pdf
Response to SAR inquiry
RF Exposure Info
2000-06-14 00:00:00
pdf
SAR test report 102040
RF Exposure Info
2000-06-14 00:00:00
pdf
SAR test report 102038
RF Exposure Info
2000-06-14 00:00:00
pdf
Additional SAR information
RF Exposure Info
2000-06-14 00:00:00
pdf
Process gain data p8
Test Report
2000-06-14 00:00:00
jpeg
Process gain data p7
Test Report
2000-06-14 00:00:00
jpeg
Process gain datap6
Test Report
2000-06-14 00:00:00
jpeg
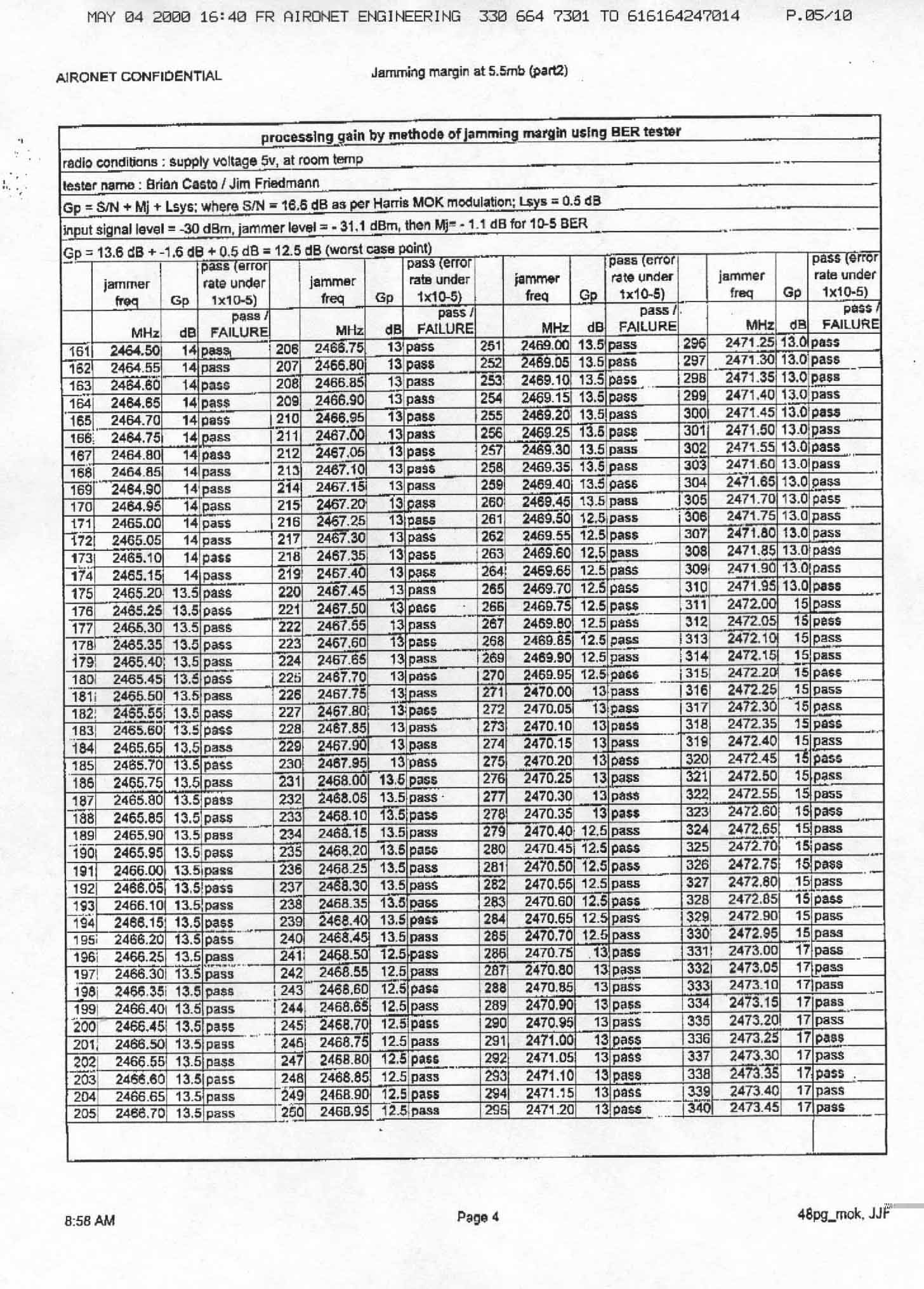
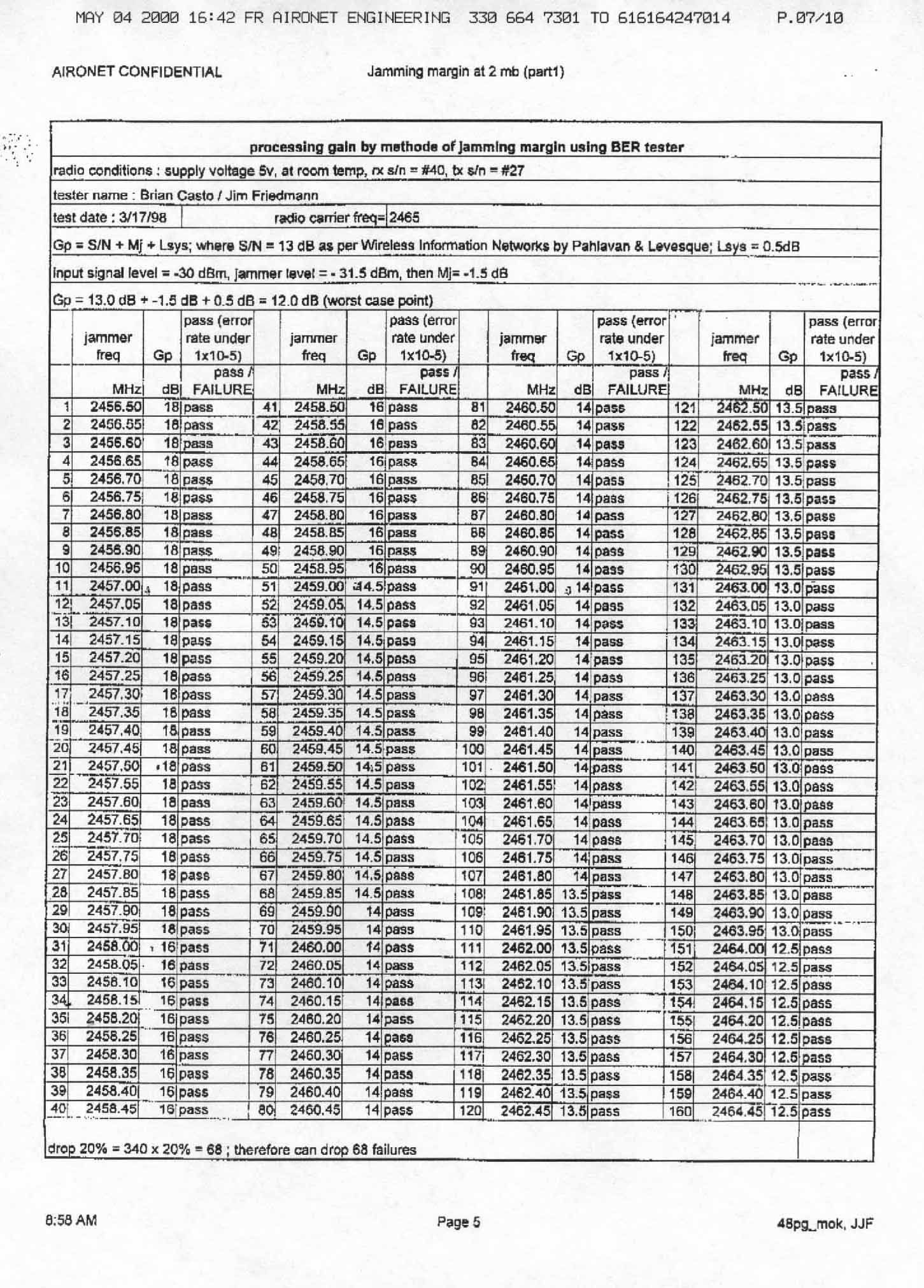
Process gain data p5
Test Report
2000-06-14 00:00:00
jpeg
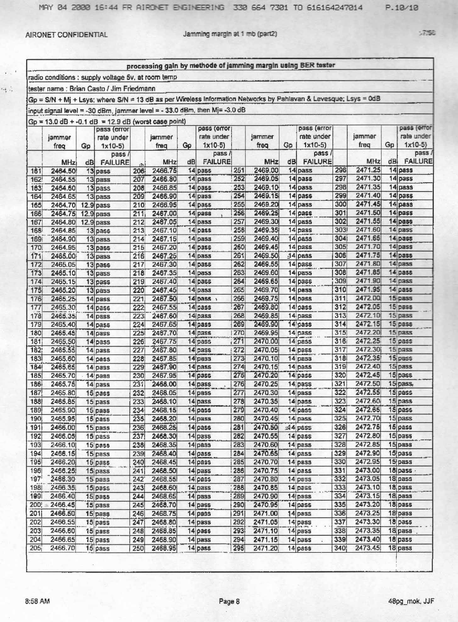
Process gain data p4
Test Report
2000-06-14 00:00:00
jpeg
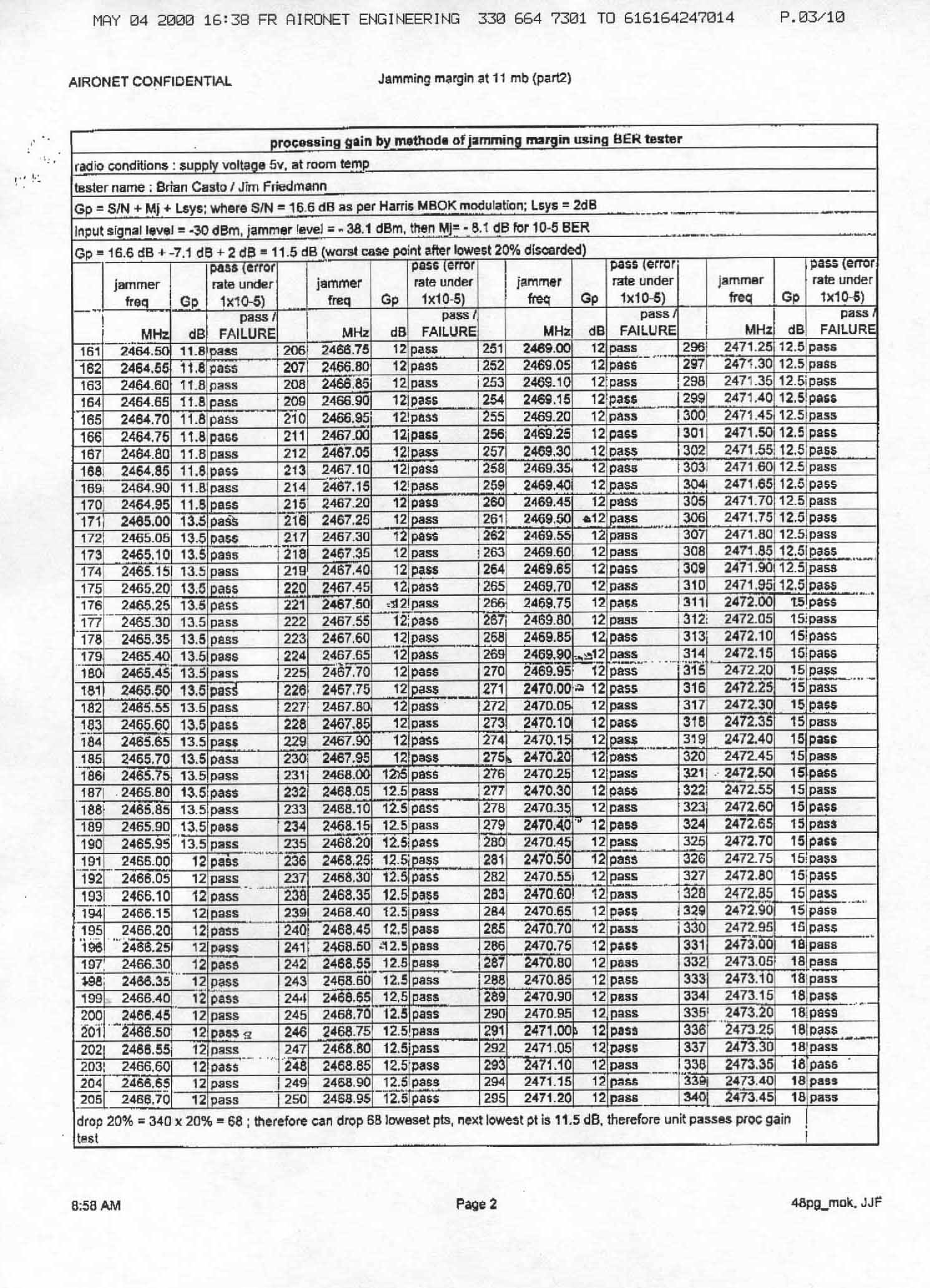
Process Gain data p3
Test Report
2000-06-14 00:00:00
jpeg
Process Gain data p2
Test Report
2000-06-14 00:00:00
jpeg
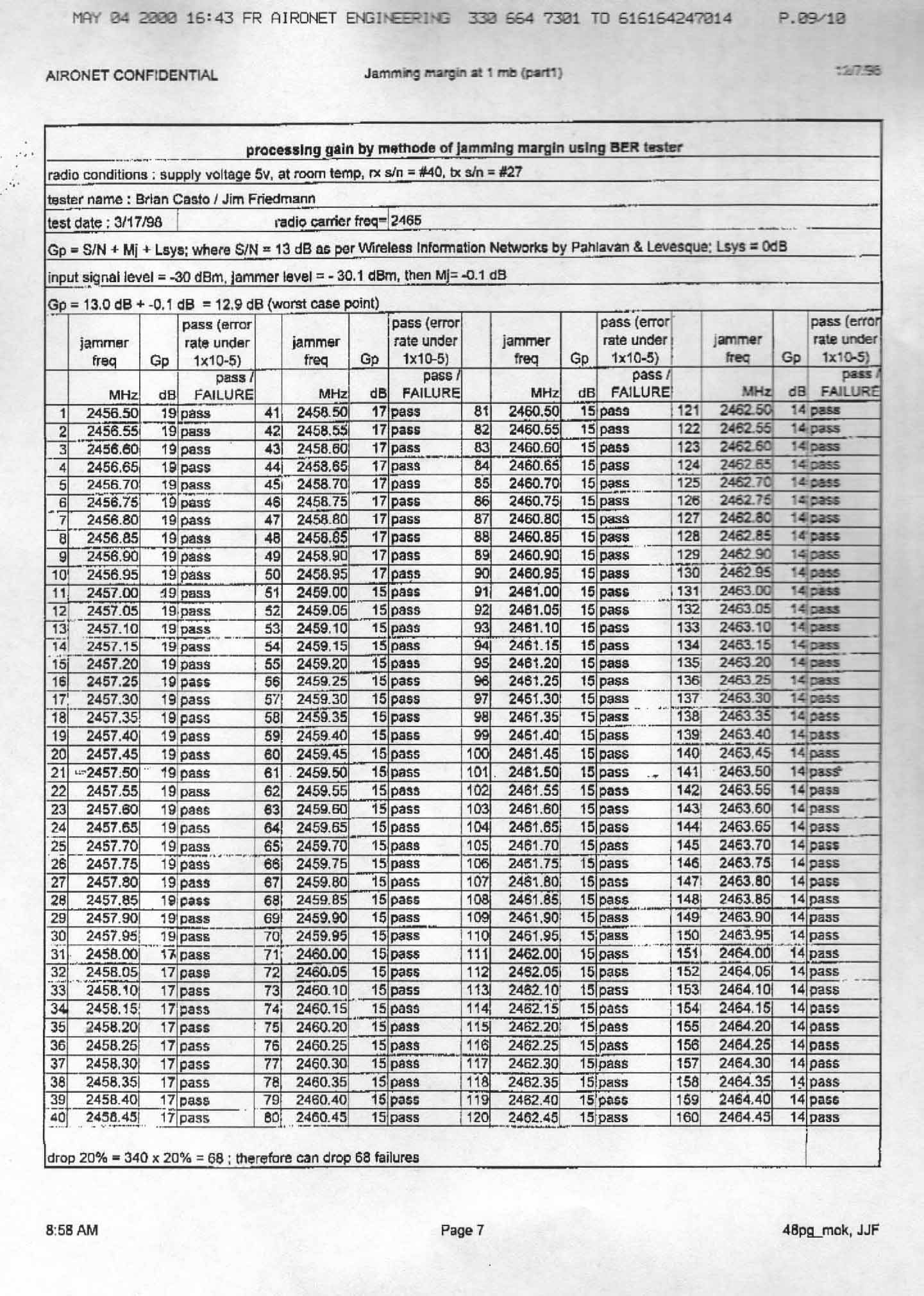
Process Gain data p1
Test Report
2000-06-14 00:00:00
jpeg
Additonal Modular Justification from manufacturer
Test Report
2000-06-14 00:00:00
pdf
Declaration of Conformity from CISCO
ID Label/Location Info
2000-06-14 00:00:00
pdf
Verification certificate from AHD
ID Label/Location Info
2000-06-14 00:00:00
pdf
Revised label print
ID Label/Location Info
2000-06-14 00:00:00
pdf
Revised info on test setup and supportequip
Test Report
2000-06-14 00:00:00
pdf
Ex 4 Spectral Density
Test Report
2000-06-14 00:00:00
jpeg
Ex 3 Spectral Density
Test Report
2000-06-14 00:00:00
jpeg
Ex 2 Spectral Density
Test Report
2000-06-14 00:00:00
jpeg
Ex 1 Spectral Density
Test Report
2000-06-14 00:00:00
jpeg
Dipole antenna
External Photos
2000-06-14 00:00:00
jpeg
Revised cover letter
Cover Letter(s)
2000-06-14 00:00:00
pdf
Addtional data Output power
Test Report
2000-06-14 00:00:00
pdf
RF exposure data
RF Exposure Info
2000-06-14 00:00:00
pdf
Revised Description of Product
Test Report
2000-06-14 00:00:00
pdf
Accuracy of Data
Attestation Statements
2000-06-14 00:00:00
jpeg
OEM label instructions
ID Label/Location Info
2000-06-14 00:00:00
pdf
Label Drawing
ID Label/Location Info
2000-06-14 00:00:00
pdf
Report of Measurements
Test Report
2000-06-14 00:00:00
pdf
OEM Manual
Users Manual
2000-06-14 00:00:00
pdf
High Frequency Measurement Equip
Test Setup Photos
2000-06-14 00:00:00
jpeg
Direct Connect setup
Test Setup Photos
2000-06-14 00:00:00
jpeg
Test fixture without EUT
Test Setup Photos
2000-06-14 00:00:00
jpeg
Fixture with EUT installed
Test Setup Photos
2000-06-14 00:00:00
jpeg
Rear view with shielded test fixture
Test Setup Photos
2000-06-14 00:00:00
jpeg
Front View with shielded test fixture
Test Setup Photos
2000-06-14 00:00:00
jpeg
Rear View with Dipole Antenna
Test Setup Photos
2000-06-14 00:00:00
jpeg
Rear View with Patch antenna
Test Setup Photos
2000-06-14 00:00:00
jpeg
Fujitsu Patch antenna
External Photos
2000-06-14 00:00:00
jpeg
PCB bottom with shield
Internal Photos
2000-06-14 00:00:00
jpeg
PCB bottom
Operational Description
2000-06-14 00:00:00
jpeg
PCB top with shield
Internal Photos
2000-06-14 00:00:00
jpeg
PCB top
Internal Photos
2000-06-14 00:00:00
jpeg
Processing Gain Information
Operational Description
2000-06-14 00:00:00
pdf
Description of Product
Test Report
2000-06-14 00:00:00
pdf
Power of Attorney
Attestation Statements
2000-06-14 00:00:00
pdf
Signature page
Attestation Statements
2000-06-14 00:00:00
jpeg
Cover Letter
Cover Letter(s)
2000-06-14 00:00:00
pdf
Block Diagram
Block Diagram
N/A
Description of Operation
Operational Description
N/A
schematics
Schematics
N/A
TuneUp Information
Parts List/Tune Up Info
N/A
Application Details:
Equipment
FRN
0004968939
Grantee Code
LDK
Product Code
102039
Applicant Business
Cisco Systems Inc
Business Address
125 West Tasman Drive , San Jose,California United States 95134-1706
TCB Scope
TCB Email
Applicant
Gerard Thorpe – Manager, Engineering
Applicant Phone
Applicant Fax
408-527-7097
Applicant Email
[email protected]
Applicant MailStop
Test Firm
AHD EMC Laboratory
Test Firm Contact
Gordon Helm
Test Firm Phone
Test Firm Fax
269-429-9016
Test Firm Email
[email protected]
Certified By
Ted Chaffee – Lab Manager, CoOwner
© 2026 FCC.report
This site is not affiliated with or endorsed by the FCC